Introducción
El impacto de la telemedicina (mHealth) en los programas de atención a la insuficiencia cardíaca (IC) mediante el seguimiento remoto de biomedidas y cuestionarios de signos de alarma ha sido demostrado.
objetivos
El objetivo de este análisis es definir la adherencia a las soluciones digitales (mHealth) y conocer los factores clínicos y psicosociales asociados.
Métodos
Diseñamos un análisis post-hoc del estudio Heart Failure Events Reduction with Remote Monitoring and eHealth Support [HERMeS], centrándonos en la adherencia de los pacientes a la telemonitorización (TM), mediante el envío de biomedidas y el cuestionario de síntomas. HERMeS es un ensayo clínico multicéntrico, abierto, con adjudicación ciega de eventos clínicos, que combina telemonitorización y teleintervención con videoconferencia utilizando mHealth en pacientes con insuficiencia cardíaca (IC). Los pacientes fueron aleatorizados en una proporción 1:1 al grupo control (UC) o al grupo intervención (mHealth) durante el período de 30 días tras recibir el alta.
El objetivo de este subanálisis es definir la adherencia de la TM y conocer los factores clínicos y psicosociales asociados. La adherencia se midió mediante la proporción de días con transmisión de biomedidas o cuestionarios respecto a los días de seguimiento, considerando una adherencia óptima >80%.
resultados
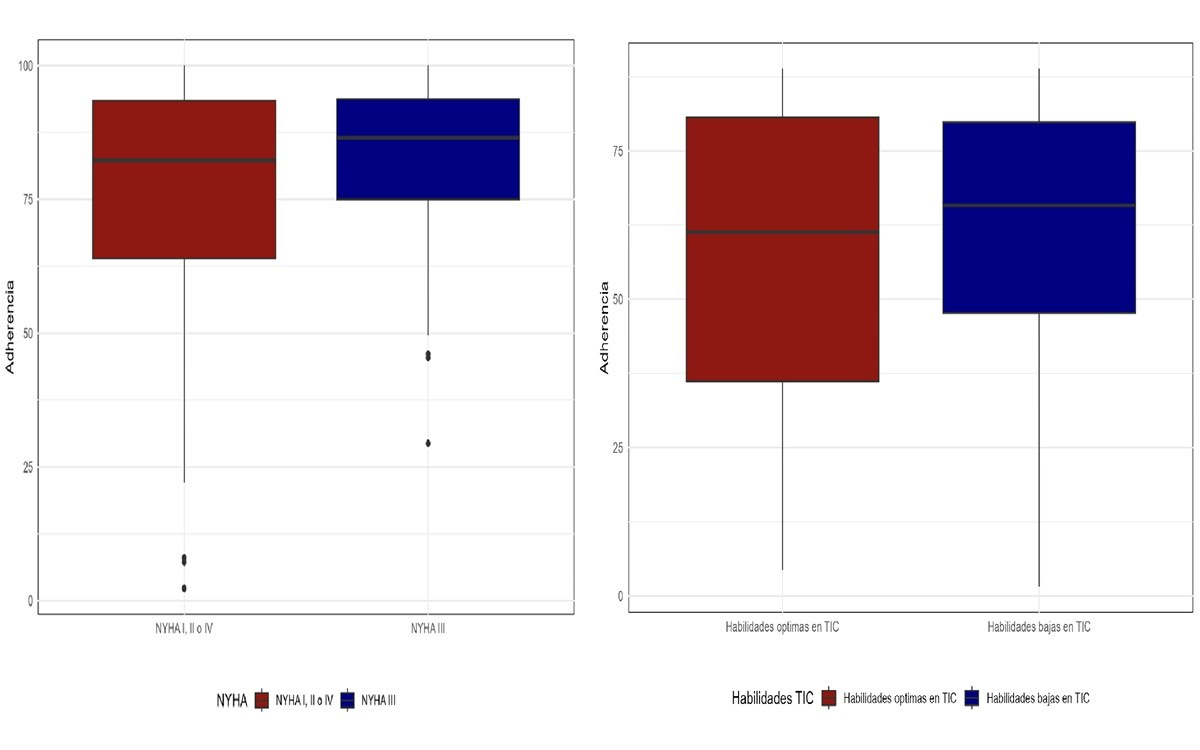
Se analizaron 193 pacientes en seguimiento con TM. La edad media fue de 72 ± 12,34 años, el 43% eran mujeres. Fracción de eyección del ventrículo izquierdo (FEVI) media 44,45 ± 15,50. Clase funcional de la NYHA III-IV 20,73%. El 50,26% de los pacientes presentaban bajas habilidades en las tecnologías de la información y la comunicación (TIC). La adherencia global a las biomedidas fue del 76,94 ± 21,50, la adherencia al registro de tensión arterial y frecuencia cardíaca 77,55 ± 21,76, y la adherencia al registro de peso 75,16 ± 24,62. La adherencia global media del cuestionario de síntomas fue 59,18 ± 24,9. Se realizó una regresión lineal multivariante mediante el método backward para conocer las variables con mayor impacto en la adherencia (Tabla 1).
conclusiones
La adherencia a las biomedidas está influenciada por el estado clínico, mientras que la adherencia al envío de cuestionarios está influenciada por factores psicosociales, como el entorno social, la experiencia tecnológica y la percepción de salud.
Figura 1. Box plot factores clínicos y psicosociales

Tabla 1. Variables asociadas con la adherencia a la monitorización remota
