Introducción
La Dislipemia es uno de los Factores de Riesgo Cardiovascular más prevalente en los pacientes con patología cardiaca. Actualmente existen múltiples tratamientos para el control lipídico, entre los que se encuentran los iPCSK9 (inhibidores de la proproteína convertasa subtilisina/kexina 9).
En la Unidad de rehabilitación cardiaca (RHC) se realiza seguimiento a los pacientes a los que se les ha prescrito iPCSK9 desde el servicio cardiología.
El objetivo de este estudio es presentar resultados del seguimiento del control lipídico con iPCSK9 en dicha unidad.
Métodos
Estudio retrospectivo observacional, que incluye a los pacientes derivados desde cardiología a RHC para seguimiento del fármaco, según protocolo del hospital.
Para ser candidato hay que tener: LDL >100 mg/dl en analítica reciente a pesar de un adecuado cumplimiento del tratamiento oral en dosis máximas, o intolerancia a estatinas.
En cada revisión programada el personal de enfermería realiza una valoración que incluye educación para la salud (EPS) y extracción sanguínea con perfil de bioquímica básico, perfil lipídico y lipoproteínas.
Tras revisión de los resultados analíticos y la comprobación mediante plataforma electrónica de la correcta retirada de la medicación oral, se ajusta y/o valida tratamiento y se facilitan citas para seguimiento según tiempos protocolizados.
Los resultados de las analíticas son registrados por el personal de enfermería en una tabla de Excel para su posterior estudio mediante el programa SPSS.
resultados
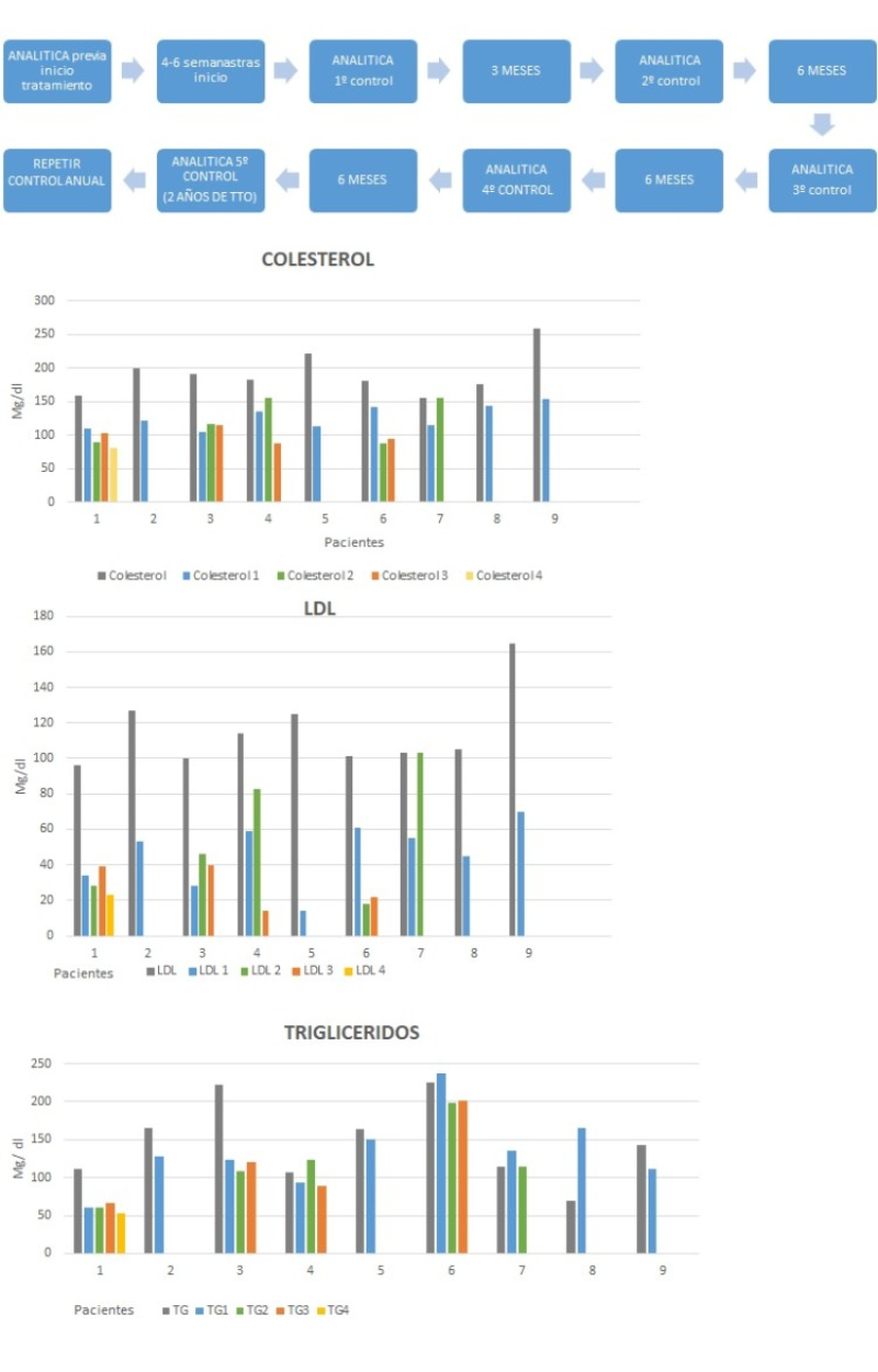
Desde el inicio de este protocolo en 2023 se ha realizado seguimiento a 9 pacientes (44% mujeres), de ellos, 2 intolerantes a estatinas, 6 pacientes entraron en rango tras 1º revisión.
En la primera analítica de revisión todos los pacientes presentan una disminución estadísticamente significativa de niveles de LDL (P<0.001); Además las cifras de colesterol están por debajo de 150 mg/dl en el 100% de los pacientes y los triglicéridos por debajo de 150 mg/dl en el 77% de los pacientes.
conclusiones
Este nuevo fármaco se evidencia como una herramienta eficaz para la disminución de los niveles de LDL.
Este protocolo permite realizar seguimiento a pacientes complejos por parte del personal de enfermería, donde reforzar la adherencia al tratamiento farmacólogo y a hábitos de vida saludable.
GRAFICOS IPCSK9
